标准集团(香港)有限公司研发工程师表示,为了探究水在加速老化测试中的作用,保证水的类型(湿度或液态水)和水侵蚀时间必须与户外规定地点的水的类型和水侵蚀时间相一致,本文讲述了油漆样品在佛罗里达及其他地区的户外曝晒条件中的水的量和类型的细节分析,还介绍了油漆样品在执行SAE J2527测试标准的老化设备中曝晒时的水喷淋量,并将这些结果进行相互比较,得出不同油漆体系的最大理论用水量,从数据中可以分析出使用不同老化设备对油漆样品进行测试时的用水量是不同的。我们得出的带有建议性的结论是,通过改进加速老化的测试条件,可以在较短时间内提供更精确的结果。
试验部分:
1.材料
这项研究使用的油漆体系是标准的汽车油漆体系;基底是冷轧钢,所有的试板都经过磷酸锌预处理,并被涂上阴极电泳漆;然后试板被喷上水性聚酯纤维底漆,面漆体系是水性底漆和高纯水性清漆。所有试板制备过程中的每一涂层都遵守标准工艺流程。
2.测试方法
户外老化
所有试板都在佛罗里达南部进行户外自然老化曝晒。依据SAE J1976要求,试板都朝南、与水平面成5°放置。
加速老化
把试板曝晒在两种设备里进行加速老化对比测试,一种是转鼓式加速试验箱(Ci5000,Atlas公司制造),另一种是平板式试验箱(Q-Sun Xe-3- HS,Q-Lab公司制造),两种试验箱都按照SAE J2527标准进行加速老化测试。


水的收集
喷淋到试板上的水量是通过一系列方法来测量的。其中一种方法是通过喷嘴附近的杯子来测量从设备喷嘴里喷淋出的水量——在规定时间内收集水,然后测量其数量。在试验开始前,喷嘴要经过检查和清理。
通过在转鼓设备中的样品架底部安装1个杯子来测量喷淋到单块试板上的水量,喷淋到试板上的水沿着试板滴落到杯子里,一定时间后,测量杯子中的水量。平板式试验箱里安装了经过改良的、可以安装35个杯子的样品架(见图1),该样品架能够在喷淋循环中收集水,然后测量每个杯子里的水量。这个方法不仅可以测量任何一次喷淋循环的水量,而且可以测试喷淋水量的均匀性。


图1 平板式加速老化试验箱中的水收集装置
另外一种测量喷淋到试板上的水量的方法是使用海绵来吸附试板区域的水。在这个试验里,1块合成纤维的海绵被切割成与试板同样的尺寸(75mm×150mm),然后将海绵浸湿,挤掉多余的水分;将海绵称重,放置在试板支架上;一定时间后,拿开海绵,重新称重来估算喷淋到试板区域的水量。
户外水侵蚀
曝露在户外的试板受到水侵蚀,可以通过定制的装置来测量试板上凝结的水量,这种装置为水平曝露在佛罗里达的杰克逊威尔的油漆试板提供实时的质量数据,这一方法的详细描述已在其他杂志上发表。简而言之,采用1块附带电子称重元件的油漆试板可以测量试板的质量及任何由水引起的额外质量,水有可能停留在试板表面,也可能被油漆系统吸收。每5min测量1次样品的质量并记录在电脑中。这种装置必须进行周期性校准,测量时要避免因鸟停留在试板上而对数据产生干扰。使用这一装置,油漆试板的质量可以在某段时间内被连续记录,而且雨水和露水很容易被区别开来。另外,同一位置的温度、湿度、太阳辐照量和风力也同时被记录下来。
试板评估
使用光泽计测量选定试板的光泽度。
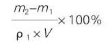
吸水性
用分析天平称量试板在水侵蚀前、后的质量,经计算得到吸水的百分率。吸水率的计算公式如下。


式中,m1为试板经水侵蚀前的质量,g;
m2为试板经 水侵蚀后的质量,g;
ρ1为水的密度,g/cm3;
V为涂层的体积,cm3。


图2 佛罗里达测量水侵蚀的试验场(注意在样品架旁边是气象站)。


图3 用于水侵蚀研究的带有称重装置的油漆试板(称重装置在水平油漆试板的下面)。
达户外水侵蚀相符,又要保持足够的加速是很困难的,因为大部分涂层体系达到完全饱和需要很长的黑暗喷淋循环时间。








