检出限是分析测试的重要指标,对于仪器性能的评价和方法的建立都是重要的基本参数之一。在日常检测过程中,检出限为具体量度指标,特别是在痕量分析 中,痕量分析误差与样品含量相对于检出限的倍数相关联。检出限的确定对于分析方法的选择具有重要意义。对检出限的忽视有可能导致检测结果的不确定度增大。 长期以来,各个领域的检测人员针对检出限概念、估算方法及在各个不同领域的应用都进行了大量的探讨。像分析仪器在测定过程中存在与噪音相区别的小信号检出 问题,同时也存在着分析方法能可靠测定物质最低含量的界限问题,这两个概念有着本质的不同。在实际应用中,仪器检出限、方法检出限及样品检出限及测定下限 的概念经常混乱。

在检验检疫行业中,进出口产品的种类繁多,涉及的领域也是多种多样,对检测人员的要求高,为保障进出口产品质量把关服务的有效进行,合理的使用仪器分 析,科学有效的评估仪器分析,都要求在仪器的检出限等各项指标上有个清晰完整的认识。为理清在检出限概念和层次上的认识,本文将对检出限的概念、分类和影 响因素进行详尽的探讨。
一、检出限的概念
1947年,德国人Hkaiser首次提出了有关分析方法检出限的概念,并提出检出限和分析方法的精密度、准确度一样,也是评价一个分析方法测试性能的重要指标。国际纯粹与应用化学联合会( IU-PAC) 于1975年正式推行使用检出限的概念及相应
估算方法,于1998年又发表了《分析术语纲要》对检出限检出,检出限的定义为:某特定方法在给定的置信度内可从样品中检出待测物质的最小浓度或量,公式表示为:

欧盟《执行关于分析方法运行和结果解释的欧盟委员会指令》(2002/657/EC)的最新检测限的概念 CCα 和 CCβ检测限( >>α) 是指大于等于此浓度限,将以α误差概率得出阳性结论。检测能力(CCβ) 是指样品中物质以β误差概率能被检测、鉴别和/或定量的最小含量。对于未建立容许限的物质,检测能力是以1-β可信度能被检测出来的最低浓度。如果容许限 已经建立,检测能力就是以1-β可信度能被检测到的容许限浓度。
二、检出限的不同分类
1、美国国家标准局的分类
(1)仪器检出限: 即相对于背景,仪器检测的可靠最小信号。通常用信噪比(S/N) 表示,当 (S/N)≥3时,定义为仪器检出限。
(2)方法检出限: 即某方法可检测的最小浓度。通常用外推法可以求得。即在低浓度范围内选三个浓度(C1、C2、C3) ,对每一浓度水平分别重复测定,求出各浓度水平的标准偏差 S1、S2、S3,用线性回归法做出拟合曲线,延长该线与纵坐标相交于S0(浓度为零时空白样品的标准偏差)。3S0则定义为方法检出限。
(3)样品检出限: 指相对于空白可检测的样品的最小含量。它定义为三倍空白标准偏差,即3σ空白( 或3S空白)。
2、国内检出限分类
国内有研究人员刘菁和冉敬等也把检出限分类为仪器检出限、方法检出限和样品检出限。田强兵将检出限分为了仪器检出限、方法检出限和仪器的测定下限和方法的测定下限。
三、检出限的介绍及影响因素
1、仪器的检出限
仪器检出限是指在规定的仪器条件下,当仪器处于稳定状态时,仪器本身存在着的噪音引起测量读数的漂移和波动。仪器检出限的水平可对同类仪器之间的信噪 比、检测灵敏度、信号与噪音相区别的界限及分析方法进行测量所能达到的最低限度等方面提供依据。仪器的检出限的物理含义为:在一定的置信范围内能与仪器噪 音相区别的最小检测信号对应的待测物质的量。通过配制一定浓度的稀溶液12份进行测量,可用下式计算:
2、方法的检出限
方法的检出限是指一个给定的分析方法在特定条件下能以合理的置信水平检出被测物的最小浓度,它是表征分析方法的最主要的参数之一。分析方法随机误差的 大小不但与仪器噪声有关,而且决定了方法全过程所带来的误差总和,与样品性质、预处理过程都有关系。为了能反映分析方法在整个分析处理过程的误差,可采用 已知结果的标准物质或样品按照分析步骤进行测量,通过分析12份已知结果的实际样品来计算方法的检出限,计算公式如下:

3、样品的检出限
即单个样品的检出限,指相对于空白可检测的样品的最小含量。故只有当空白含量为零时,样品检出限才等于方法检出限。一方面空白含量往往不为零,由于空 白含量及其波动的存在,尽管方法检出限通过外推法可能求得很低的浓度( 或含量),实际上样品检出限可能要比方法检出限大得多; 另一方面分析方法检出限采用的是一系列标准物质,基体各不相同,因此只能是一类型样品的平均检出限,并非严格适用于单个样品。对于单个样品确定检出限,必 须固定样品基体,即样品检出限的确定应使用样品本身,采取标准加入法作出和方法检出限类似的曲线,使用外推法进行计算。
正因为如此,在实际使用中,样品检出限要比方法检出限要有意义得多。当被测样品种类变化或测定所用试剂和环境变化时,即使使用同一分析方法,样品检出 限可能相差很大。在痕量分析时,测量结果的可靠性在很大程度上取决于空白值的大小及空白值的波动情况。设 Wt代表被测样品的总值,Wb 代表空白值,则被测组分的含量( Wt-Wb)与检测可靠性的关系如表1所示( 表中”σ空白”为测定分析空白时的标准偏差)。

4、空白对检出限的影响
在分析化学中,空白值可分为试剂空白、接近空白与真实空白。真实空白是完全不含待测物质,其它组分与待测样品完全相同的一种分析样品,且按照待测样品 的全部分析程序,测定空白试样。但在实际分析中,许多分析工作者使用试剂空白或接近空白,试剂空白:按照真实空白的加入顺序和操作方法混合本实验所需的全 部试剂。接近空白: 在试剂空白中加入检出限2倍或3倍的待测物质。由此可见,真实空白的基体较复杂,所以它的值高于试剂空白和接近空白。在分析中应尽量使用真实空白,它更体 现了体系的特征。
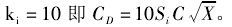
5、仪器的测定下限和方法的测定下限
检出限只能粗略的表征体系性能,仅是一种定性的判断依据,通常不能用于真实分析。测定下限则是痕量或微量分析定量测定的特征指标。仪器的测定下限表示 仪器进行定量分析时所能达到的最低界限,是指在高置信度下测定物质的最低浓度或量,其计算公式同式(2)只是一般取K=6,即
在高置信度下,用特定分析方法能够准确定量测定的待测物质最小浓度或量,称为该分析方法的测定下限。其计算公式同式(3) ,计算时一般
四、结语
当以检出限作为分析方法和分析仪器比较标准时,应约定统一的检出限计算方法$测定下限反映出分析方法能准确地定量测定低浓度水平待测物质的极限值$随 着实验测试技术的不断进步,痕量分析逐步成为实验室最主要的工作。针对痕量分析方法以及一些基本应用理论的研究也愈发重要。因此,为适应检验测试工作实际 需要,应当对检出限的计算方法进行优化统一,从而不断促进实验测试技术的发展。








